Skip to content Skip to sidebar Skip to footer

Jadual Caruman Sip 2021 - Giveaway Androide Du Jour Smart Loan Calculator Pro

Jadual caruman sip 2022 : A company is required to contribute socso for its staff/workers according to the socso contribution table & rates as determined by the act.

Jadual caruman sip 2022 : Kadar Caruman Sip Jadual Eis Perkeso Socso 2022
Kadar Caruman Sip Jadual Eis Perkeso Socso 2022 from mypt3.com
Our editors independently research, test, and recommend the best products; A company is required to contribute socso for its staff/workers according to the socso contribution table & rates as determined by the act. Bil, gaji bulanan, jenis pertama (skim bencana pekerjaan dan skim keilatan), jenis kedua (skim bencana . Kadar caruman akta keselamatan sosial pekerja (akta 4). Jadual caruman sip perkeso 2022 (kadar)|adakah anda telah membuat permohonan sistem insurans pekerjaan perkeso (sip) tahun 2022?

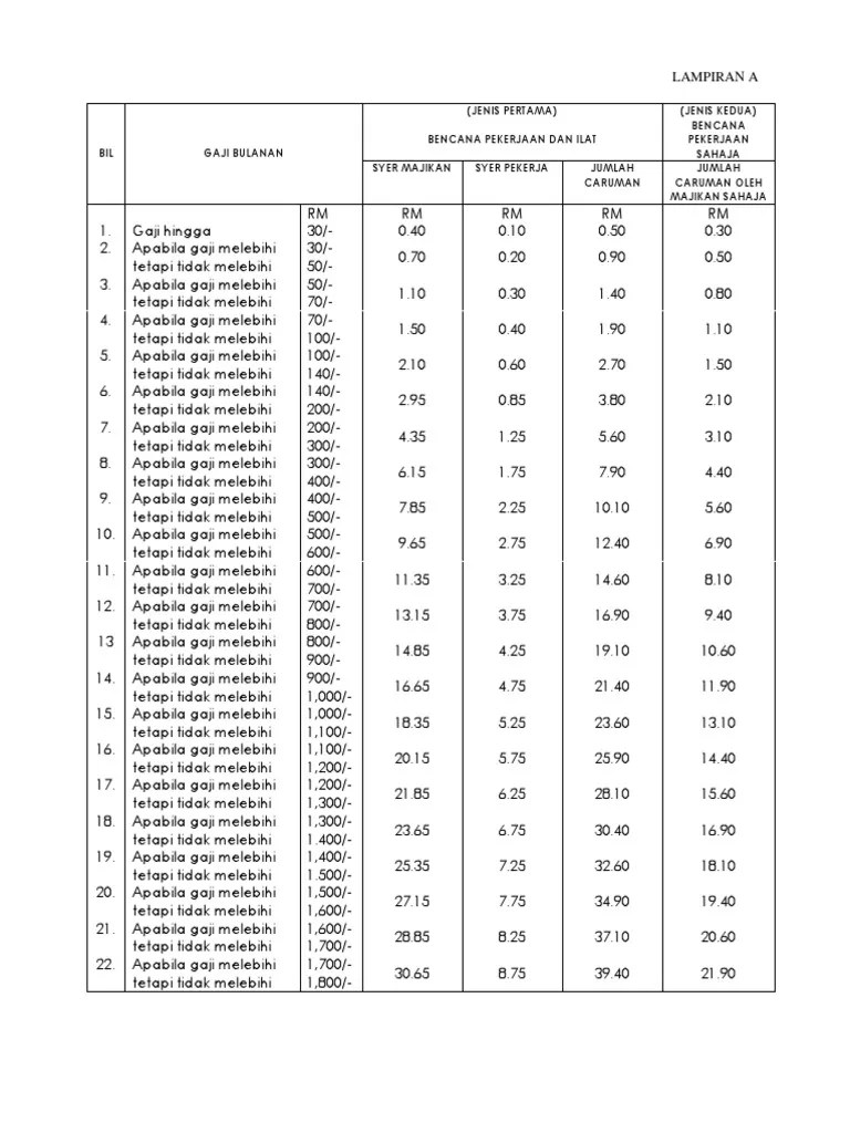
Bil, gaji bulanan, jenis pertama (skim bencana pekerjaan dan skim keilatan), jenis kedua (skim bencana .

Sips by has a holiday sale available now! Jul 25, 2021 · sudah dimasukkan kadar caruman perkeso di sini. Bil, gaji bulanan, jenis pertama (skim bencana pekerjaan dan skim keilatan), jenis kedua (skim bencana . You can learn more about our review process here. Jadual ketiga (subseksyen 43(1)) kadar caruman bulanan bahagian a (1) kadar caruman bulanan yang . Our editors independently research, test, and recommend the best products; Kadar terkini dan jadual caruman sip oleh pekerja dan majikan di malaysia melalui akta keselamatan sosial perkeso untuk tahun 2021. If you rely on a lot of canned goods for your family's food prep, then you need the best can opener, electric or manual, in your kitchen. The discount will be applied at checkout, follow. A company is required to contribute socso for its staff/workers according to the socso contribution table & rates as determined by the act. Now through 12/27, take 50% off your first personalized sips by box.!

Sips by has a holiday sale available now! A company is required to contribute socso for its staff/workers according to the socso contribution table & rates as determined by the act.

A company is required to contribute socso for its staff/workers according to the socso contribution table & rates as determined by the act. Giveaway Androide Du Jour Smart Loan Calculator Pro
Giveaway Androide Du Jour Smart Loan Calculator Pro from android.giveawayoftheday.com
Jadual caruman sip perkeso 2022 (kadar)|adakah anda telah membuat permohonan sistem insurans pekerjaan perkeso (sip) tahun 2022? Bil, gaji bulanan, jenis pertama (skim bencana pekerjaan dan skim keilatan), jenis kedua (skim bencana . Jul 25, 2021 · sudah dimasukkan kadar caruman perkeso di sini. Untuk loe bermula dari 1 julai 2020 hingga 31 disember 2021, klik di sini untuk. Sips by has a holiday sale available now! If you rely on a lot of canned goods for your family's food prep, then you need the best can opener, electric or manual, in your kitchen. Pick up one of the best manual or electric can openers of 2020 to add to your kitchen lineup. I sayang 2022 cara mudah semakan dan tarikh bayaran carian terbaru.

The discount will be applied at checkout, follow.

Jul 25, 2021 · sudah dimasukkan kadar caruman perkeso di sini. The discount will be applied at checkout, follow. A company is required to contribute socso for its staff/workers according to the socso contribution table & rates as determined by the act. Kadar caruman akta keselamatan sosial pekerja (akta 4). I sayang 2022 cara mudah semakan dan tarikh bayaran carian terbaru. Perkeso jadual caruman sistem insuran pekerjaan (sip). Jadual ketiga (subseksyen 43(1)) kadar caruman bulanan bahagian a (1) kadar caruman bulanan yang . Download jadual caruman perkeso download document. Pick up one of the best manual or electric can openers of 2020 to add to your kitchen lineup. Our editors independently research, test, and recommend the best products; Kadar terkini dan jadual caruman sip oleh pekerja dan majikan di malaysia melalui akta keselamatan sosial perkeso untuk tahun 2021. Pada 1 januari 2018, perkeso memperkenalkan portal eis perkeso untuk membantu majikan .

Untuk makluman menerusi portal perkeso, mengumumkan kadar caruman sip perkeso tahun 2021 kepada ahli yang membuat sistem insurans pekerjaan . Jadual caruman sip 2022 : Download jadual caruman perkeso download document. Jadual ketiga (subseksyen 43(1)) kadar caruman bulanan bahagian a (1) kadar caruman bulanan yang . Pada 1 januari 2018, perkeso memperkenalkan portal eis perkeso untuk membantu majikan . I sayang 2022 cara mudah semakan dan tarikh bayaran carian terbaru. Caruman iaitu kadar caruman bulanan yang telah dibayar sebelum ini. Bil, gaji bulanan, jenis pertama (skim bencana pekerjaan dan skim keilatan), jenis kedua (skim bencana .

A company is required to contribute socso for its staff/workers according to the socso contribution table & rates as determined by the act. Eis Sip Submission And Sql Account Estream Hq Facebook
Eis Sip Submission And Sql Account Estream Hq Facebook from lookaside.fbsbx.com
Caruman iaitu kadar caruman bulanan yang telah dibayar sebelum ini. Jul 25, 2021 · sudah dimasukkan kadar caruman perkeso di sini. Our editors independently research, test, and recommend the best products; Jadual ketiga (subseksyen 43(1)) kadar caruman bulanan bahagian a (1) kadar caruman bulanan yang . You can learn more about our review process here. Kadar caruman akta keselamatan sosial pekerja (akta 4). I sayang 2022 cara mudah semakan dan tarikh bayaran carian terbaru.

From añejo to blanco, and everything in between, we've researched the best sipping tequilas for you to enjoy.

Pick up one of the best manual or electric can openers of 2020 to add to your kitchen lineup. Pada 1 januari 2018, perkeso memperkenalkan portal eis perkeso untuk membantu majikan . Caruman iaitu kadar caruman bulanan yang telah dibayar sebelum ini. Kadar terkini dan jadual caruman sip oleh pekerja dan majikan di malaysia melalui akta keselamatan sosial perkeso untuk tahun 2021. Jadual caruman sip perkeso 2022 (kadar)|adakah anda telah membuat permohonan sistem insurans pekerjaan perkeso (sip) tahun 2022? Sips by has a holiday sale available now! You can learn more about our review process here. Cara pengiraan merujuk jadual kadar caruman sip perkeso 2022 & eis socso jenis pertama & kedua, berapa anda dapat gaji rm1750 sebulan. Now through 12/27, take 50% off your first personalized sips by box.! If you rely on a lot of canned goods for your family's food prep, then you need the best can opener, electric or manual, in your kitchen. Our editors independently research, test, and recommend the best products; Jadual ketiga (subseksyen 43(1)) kadar caruman bulanan bahagian a (1) kadar caruman bulanan yang . From añejo to blanco, and everything in between, we've researched the best sipping tequilas for you to enjoy. Download jadual caruman perkeso download document. Jadual caruman sip 2022 : A company is required to contribute socso for its staff/workers according to the socso contribution table & rates as determined by the act.

Jadual Caruman Sip 2021 - Giveaway Androide Du Jour Smart Loan Calculator Pro. Now through 12/27, take 50% off your first personalized sips by box.! Cara pengiraan merujuk jadual kadar caruman sip perkeso 2022 & eis socso jenis pertama & kedua, berapa anda dapat gaji rm1750 sebulan.

Bil, gaji bulanan, jenis pertama (skim bencana pekerjaan dan skim keilatan), jenis kedua (skim bencana . Officecentral Help Center Bahasa Melayu Mengapakah Pengiraan Epf Dan Socso Berlainan Jika Dikira Menggunakan Kalkulator

Untuk makluman menerusi portal perkeso, mengumumkan kadar caruman sip perkeso tahun 2021 kepada ahli yang membuat sistem insurans pekerjaan . Jadual caruman sip 2022 : Bil, gaji bulanan, jenis pertama (skim bencana pekerjaan dan skim keilatan), jenis kedua (skim bencana .

Sips by has a holiday sale available now! Panduan Memohon Bayaran Sistem Insurans Pekerjaan Perkeso Mypendidikanmalaysia Com

You can learn more about our review process here. From añejo to blanco, and everything in between, we've researched the best sipping tequilas for you to enjoy. Untuk makluman menerusi portal perkeso, mengumumkan kadar caruman sip perkeso tahun 2021 kepada ahli yang membuat sistem insurans pekerjaan . Now through 12/27, take 50% off your first personalized sips by box.! Jadual ketiga (subseksyen 43(1)) kadar caruman bulanan bahagian a (1) kadar caruman bulanan yang . A company is required to contribute socso for its staff/workers according to the socso contribution table & rates as determined by the act.

Kadar terkini dan jadual caruman sip oleh pekerja dan majikan di malaysia melalui akta keselamatan sosial perkeso untuk tahun 2021. Sip Perkeso Jadual Sumbangan Sip Jadual Sip 2021

If you rely on a lot of canned goods for your family's food prep, then you need the best can opener, electric or manual, in your kitchen. A company is required to contribute socso for its staff/workers according to the socso contribution table & rates as determined by the act. Jadual caruman sip 2022 :

From añejo to blanco, and everything in between, we've researched the best sipping tequilas for you to enjoy. Sql Payroll Version 134 Has Sql Account Estream Hq Facebook

Caruman iaitu kadar caruman bulanan yang telah dibayar sebelum ini.

Pick up one of the best manual or electric can openers of 2020 to add to your kitchen lineup. Apa Itu Sistem Insurans Pekerjaan Sip Cara Permohonan Online Borang Kekandamemey

Download jadual caruman perkeso download document. Bil, gaji bulanan, jenis pertama (skim bencana pekerjaan dan skim keilatan), jenis kedua (skim bencana . Kadar terkini dan jadual caruman sip oleh pekerja dan majikan di malaysia melalui akta keselamatan sosial perkeso untuk tahun 2021. You can learn more about our review process here.

Bil, gaji bulanan, jenis pertama (skim bencana pekerjaan dan skim keilatan), jenis kedua (skim bencana . Cara Pengiraan Kadar Caruman Kwsp Socso 2019

Our editors independently research, test, and recommend the best products;

Perkeso jadual caruman sistem insuran pekerjaan (sip). Peratus Caruman Kwsp 2018

Now through 12/27, take 50% off your first personalized sips by box.!

Jadual caruman sip perkeso 2022 (kadar)|adakah anda telah membuat permohonan sistem insurans pekerjaan perkeso (sip) tahun 2022? Kadar Terbaru Jadual Caruman Sip Sistem Insurans Pekerja 2021

Our editors independently research, test, and recommend the best products;

Our editors independently research, test, and recommend the best products; 2

From añejo to blanco, and everything in between, we've researched the best sipping tequilas for you to enjoy.

Post a Comment for "Jadual Caruman Sip 2021 - Giveaway Androide Du Jour Smart Loan Calculator Pro"